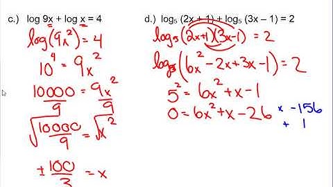
Pre-Calculus 12 Lesson 8.4 "Logarithmic and Exponential Equations"

Tonton & Download Video Musik Gratis

⬇ DOWNLOAD NOW
Kalau muncul iklan pop-up, tutup lalu klik tombol kembali

Download lagu Pre-Calculus 12 Lesson 8.4 "Logarithmic and Exponential Equations" secara gratis hanya untuk keperluan promosi. Dukung artis favorit kamu dengan membeli musik original di iTunes atau platform resmi lainnya.