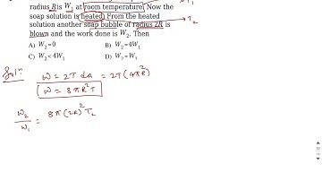
If work done in blowing a bubble of radius R is in a soap solution , then the work done in

Tonton & Download Video Musik Gratis

⬇ DOWNLOAD NOW
Kalau muncul iklan pop-up, tutup lalu klik tombol kembali

Download lagu If work done in blowing a bubble of radius R is in a soap solution , then the work done in secara gratis hanya untuk keperluan promosi. Dukung artis favorit kamu dengan membeli musik original di iTunes atau platform resmi lainnya.