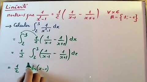
Calcul d'une intégrale avec la présence du logarithme népérien - Terminale

Tonton & Download Video Musik Gratis

⬇ DOWNLOAD NOW
Kalau muncul iklan pop-up, tutup lalu klik tombol kembali

Download lagu Calcul d'une intégrale avec la présence du logarithme népérien - Terminale secara gratis hanya untuk keperluan promosi. Dukung artis favorit kamu dengan membeli musik original di iTunes atau platform resmi lainnya.