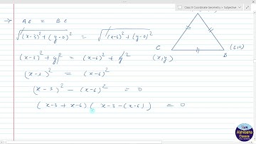
If two vertices of an equilateral triangle are (-3,0) (3,0) find the 3rd (x,y)

Tonton & Download Video Musik Gratis

⬇ DOWNLOAD NOW
Kalau muncul iklan pop-up, tutup lalu klik tombol kembali

Download lagu If two vertices of an equilateral triangle are (-3,0) (3,0) find the 3rd (x,y) secara gratis hanya untuk keperluan promosi. Dukung artis favorit kamu dengan membeli musik original di iTunes atau platform resmi lainnya.