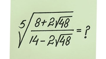
Italy Olympiad Math Simplification Problem | Calculator Not Allowed | Tricky Solution

Tonton & Download Video Musik Gratis

⬇ DOWNLOAD NOW
Kalau muncul iklan pop-up, tutup lalu klik tombol kembali

Download lagu Italy Olympiad Math Simplification Problem | Calculator Not Allowed | Tricky Solution secara gratis hanya untuk keperluan promosi. Dukung artis favorit kamu dengan membeli musik original di iTunes atau platform resmi lainnya.