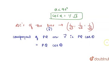
Find the projection of the line segment joining (2,-1,3) and (4,2,5)` on a line which makes

Tonton & Download Video Musik Gratis

⬇ DOWNLOAD NOW
Kalau muncul iklan pop-up, tutup lalu klik tombol kembali

Download lagu Find the projection of the line segment joining (2,-1,3) and (4,2,5)` on a line which makes secara gratis hanya untuk keperluan promosi. Dukung artis favorit kamu dengan membeli musik original di iTunes atau platform resmi lainnya.