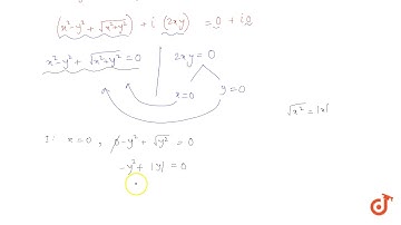
Find the number of solutions to the equation z² + z' = 0. Mathematics for IIT JEE

Tonton & Download Video Musik Gratis

⬇ DOWNLOAD NOW
Kalau muncul iklan pop-up, tutup lalu klik tombol kembali

Download lagu Find the number of solutions to the equation z² + z' = 0. Mathematics for IIT JEE secara gratis hanya untuk keperluan promosi. Dukung artis favorit kamu dengan membeli musik original di iTunes atau platform resmi lainnya.