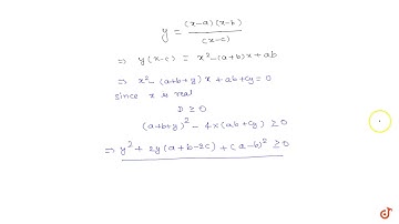
10 For real x, the function (x−a)(x−b)/(x−c) will assume all real values provided JEE Advance 1984

Tonton & Download Video Musik Gratis

⬇ DOWNLOAD NOW
Kalau muncul iklan pop-up, tutup lalu klik tombol kembali

Download lagu 10 For real x, the function (x−a)(x−b)/(x−c) will assume all real values provided JEE Advance 1984 secara gratis hanya untuk keperluan promosi. Dukung artis favorit kamu dengan membeli musik original di iTunes atau platform resmi lainnya.