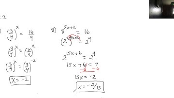
Mr. Schaab's A4 Zoom Class - 4/21/20 - Integrated Math

Tonton & Download Video Musik Gratis

⬇ DOWNLOAD NOW
Kalau muncul iklan pop-up, tutup lalu klik tombol kembali

Download lagu Mr. Schaab's A4 Zoom Class - 4/21/20 - Integrated Math secara gratis hanya untuk keperluan promosi. Dukung artis favorit kamu dengan membeli musik original di iTunes atau platform resmi lainnya.