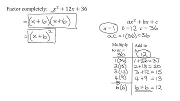
Solve Quadratic Equation: Finding x in x²-12x+36=0 #Math #Factorization #FactoringTrinomials

Tonton & Download Video Musik Gratis

⬇ DOWNLOAD NOW
Kalau muncul iklan pop-up, tutup lalu klik tombol kembali

Download lagu Solve Quadratic Equation: Finding x in x²-12x+36=0 #Math #Factorization #FactoringTrinomials secara gratis hanya untuk keperluan promosi. Dukung artis favorit kamu dengan membeli musik original di iTunes atau platform resmi lainnya.