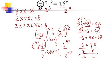
Solving Exponential Equation Part 1 - TAGALOG VERSION | Examples | General Mathematics

Tonton & Download Video Musik Gratis

⬇ DOWNLOAD NOW
Kalau muncul iklan pop-up, tutup lalu klik tombol kembali

Download lagu Solving Exponential Equation Part 1 - TAGALOG VERSION | Examples | General Mathematics secara gratis hanya untuk keperluan promosi. Dukung artis favorit kamu dengan membeli musik original di iTunes atau platform resmi lainnya.