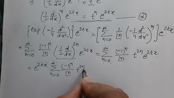
Alternative expression for the Hermite polynomials Theorem 2.| Hermite polynomial important Question

Tonton & Download Video Musik Gratis

⬇ DOWNLOAD NOW
Kalau muncul iklan pop-up, tutup lalu klik tombol kembali

Download lagu Alternative expression for the Hermite polynomials Theorem 2.| Hermite polynomial important Question secara gratis hanya untuk keperluan promosi. Dukung artis favorit kamu dengan membeli musik original di iTunes atau platform resmi lainnya.