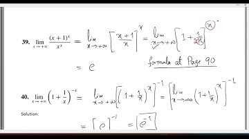
Calculus 1 Ex # 1.3 Q # 6 Limits and Continuity: Limits at Infinity

Tonton & Download Video Musik Gratis

⬇ DOWNLOAD NOW
Kalau muncul iklan pop-up, tutup lalu klik tombol kembali

Download lagu Calculus 1 Ex # 1.3 Q # 6 Limits and Continuity: Limits at Infinity secara gratis hanya untuk keperluan promosi. Dukung artis favorit kamu dengan membeli musik original di iTunes atau platform resmi lainnya.