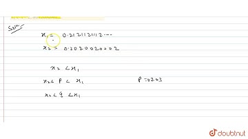
Find two rational numbers of the form p/q between the numbers 0.2121121112... and 0.2020020002...

Tonton & Download Video Musik Gratis

⬇ DOWNLOAD NOW
Kalau muncul iklan pop-up, tutup lalu klik tombol kembali

Download lagu Find two rational numbers of the form p/q between the numbers 0.2121121112... and 0.2020020002... secara gratis hanya untuk keperluan promosi. Dukung artis favorit kamu dengan membeli musik original di iTunes atau platform resmi lainnya.