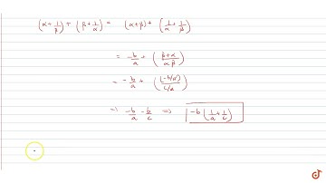
If \(\alpha, \beta\) are the roots of the equation \(a x^2+b x+c=0\) then the equation whose root...

Tonton & Download Video Musik Gratis

⬇ DOWNLOAD NOW
Kalau muncul iklan pop-up, tutup lalu klik tombol kembali

Download lagu If \(\alpha, \beta\) are the roots of the equation \(a x^2+b x+c=0\) then the equation whose root... secara gratis hanya untuk keperluan promosi. Dukung artis favorit kamu dengan membeli musik original di iTunes atau platform resmi lainnya.