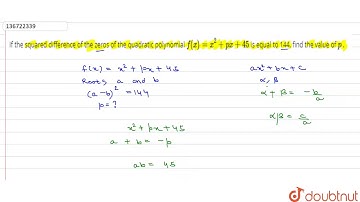
If the Squared difference of the zeros of the polynomial f(x)=x square + px + 45 is equal to 144 DM

Tonton & Download Video Musik Gratis

⬇ DOWNLOAD NOW
Kalau muncul iklan pop-up, tutup lalu klik tombol kembali

Download lagu If the Squared difference of the zeros of the polynomial f(x)=x square + px + 45 is equal to 144 DM secara gratis hanya untuk keperluan promosi. Dukung artis favorit kamu dengan membeli musik original di iTunes atau platform resmi lainnya.