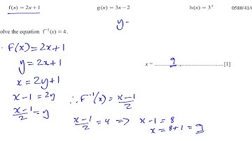
0580/21/M/J/20 (IGCSE) Paper 21 CAIE Q16 Algebra, Inverse Variation

Tonton & Download Video Musik Gratis

⬇ DOWNLOAD NOW
Kalau muncul iklan pop-up, tutup lalu klik tombol kembali

Download lagu 0580/21/M/J/20 (IGCSE) Paper 21 CAIE Q16 Algebra, Inverse Variation secara gratis hanya untuk keperluan promosi. Dukung artis favorit kamu dengan membeli musik original di iTunes atau platform resmi lainnya.