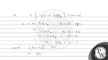
Let Z1 and Z2 be two complex numbers such that z_1+z_2=5 and z_1^3+z_2^3=20+15i #jeemain #pyq

Tonton & Download Video Musik Gratis

⬇ DOWNLOAD NOW
Kalau muncul iklan pop-up, tutup lalu klik tombol kembali

Download lagu Let Z1 and Z2 be two complex numbers such that z_1+z_2=5 and z_1^3+z_2^3=20+15i #jeemain #pyq secara gratis hanya untuk keperluan promosi. Dukung artis favorit kamu dengan membeli musik original di iTunes atau platform resmi lainnya.