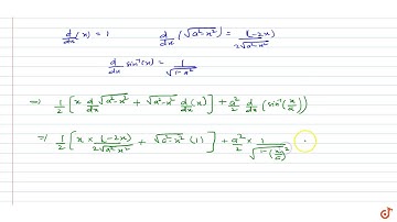
prove that : `int sqrt(x^2+a^2) dx` = `x/2sqrt(x^2+a^2)+a^2/2log|x+sqrt(x^2+a^2)|`+c

Tonton & Download Video Musik Gratis

⬇ DOWNLOAD NOW
Kalau muncul iklan pop-up, tutup lalu klik tombol kembali

Download lagu prove that : `int sqrt(x^2+a^2) dx` = `x/2sqrt(x^2+a^2)+a^2/2log|x+sqrt(x^2+a^2)|`+c secara gratis hanya untuk keperluan promosi. Dukung artis favorit kamu dengan membeli musik original di iTunes atau platform resmi lainnya.