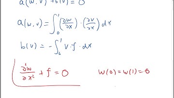
Solving of Poisson's Equation using Finite Element Method (FEM)- Weak and Strong form of PDEs

Tonton & Download Video Musik Gratis

⬇ DOWNLOAD NOW
Kalau muncul iklan pop-up, tutup lalu klik tombol kembali

Download lagu Solving of Poisson's Equation using Finite Element Method (FEM)- Weak and Strong form of PDEs secara gratis hanya untuk keperluan promosi. Dukung artis favorit kamu dengan membeli musik original di iTunes atau platform resmi lainnya.