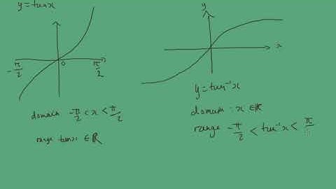
142 Week 4 Video 4 (5.5: Inverse Trigonometric Functions, Part 1)

Tonton & Download Video Musik Gratis

⬇ DOWNLOAD NOW
Kalau muncul iklan pop-up, tutup lalu klik tombol kembali

Download lagu 142 Week 4 Video 4 (5.5: Inverse Trigonometric Functions, Part 1) secara gratis hanya untuk keperluan promosi. Dukung artis favorit kamu dengan membeli musik original di iTunes atau platform resmi lainnya.