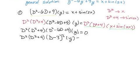
Diff. Eq.: Third order nonhomogeneous differential equation Annihilator Method Part 3 out of 4

Tonton & Download Video Musik Gratis

⬇ DOWNLOAD NOW
Kalau muncul iklan pop-up, tutup lalu klik tombol kembali

Download lagu Diff. Eq.: Third order nonhomogeneous differential equation Annihilator Method Part 3 out of 4 secara gratis hanya untuk keperluan promosi. Dukung artis favorit kamu dengan membeli musik original di iTunes atau platform resmi lainnya.