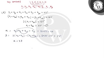
\begin{tabular}{|c|c|c|c|c|} \hline & \multicolumn{2}{|l|}{ Column-I } & & Column-II \\ \hline A....

Tonton & Download Video Musik Gratis

⬇ DOWNLOAD NOW
Kalau muncul iklan pop-up, tutup lalu klik tombol kembali

Download lagu \begin{tabular}{|c|c|c|c|c|} \hline & \multicolumn{2}{|l|}{ Column-I } & & Column-II \\ \hline A.... secara gratis hanya untuk keperluan promosi. Dukung artis favorit kamu dengan membeli musik original di iTunes atau platform resmi lainnya.