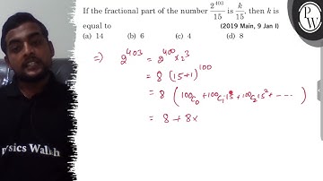
If the fractional part of the number 2^403/15 is k/15, then k is equal to : (1) 14 (2) 6 (3) 4

Tonton & Download Video Musik Gratis

⬇ DOWNLOAD NOW
Kalau muncul iklan pop-up, tutup lalu klik tombol kembali

Download lagu If the fractional part of the number 2^403/15 is k/15, then k is equal to : (1) 14 (2) 6 (3) 4 secara gratis hanya untuk keperluan promosi. Dukung artis favorit kamu dengan membeli musik original di iTunes atau platform resmi lainnya.