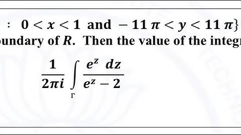
# Day_7 Gate 2021 Question on Complex Analysis | Gate Mathematics Questions Practice #shorts

Tonton & Download Video Musik Gratis

⬇ DOWNLOAD NOW
Kalau muncul iklan pop-up, tutup lalu klik tombol kembali

Download lagu # Day_7 Gate 2021 Question on Complex Analysis | Gate Mathematics Questions Practice #shorts secara gratis hanya untuk keperluan promosi. Dukung artis favorit kamu dengan membeli musik original di iTunes atau platform resmi lainnya.