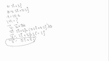
A particle has an initial velocity `(2 hat(i) + 3 hat(j))` and an accelaration `(0.3 hat(i) + 0.

Tonton & Download Video Musik Gratis

⬇ DOWNLOAD NOW
Kalau muncul iklan pop-up, tutup lalu klik tombol kembali

Download lagu A particle has an initial velocity `(2 hat(i) + 3 hat(j))` and an accelaration `(0.3 hat(i) + 0. secara gratis hanya untuk keperluan promosi. Dukung artis favorit kamu dengan membeli musik original di iTunes atau platform resmi lainnya.