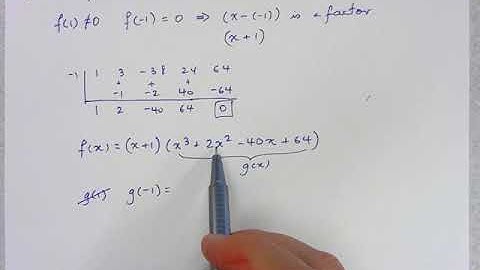
MHF4U (Unit 3, Test 1, Thinking Section, Question 1) - find constants using remainder theorem

Tonton & Download Video Musik Gratis

⬇ DOWNLOAD NOW
Kalau muncul iklan pop-up, tutup lalu klik tombol kembali

Download lagu MHF4U (Unit 3, Test 1, Thinking Section, Question 1) - find constants using remainder theorem secara gratis hanya untuk keperluan promosi. Dukung artis favorit kamu dengan membeli musik original di iTunes atau platform resmi lainnya.