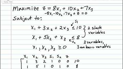
Part 1 - Solving a Standard Maximization Problem using the Simplex Method

Tonton & Download Video Musik Gratis

⬇ DOWNLOAD NOW
Kalau muncul iklan pop-up, tutup lalu klik tombol kembali

Download lagu Part 1 - Solving a Standard Maximization Problem using the Simplex Method secara gratis hanya untuk keperluan promosi. Dukung artis favorit kamu dengan membeli musik original di iTunes atau platform resmi lainnya.