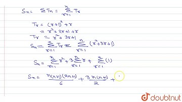
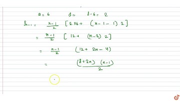
5.d) 5 + 11 + 19 + 29 + 41 +... Find the nth term and then sum of n terms of following series. NEB12

Tonton & Download Video Musik Gratis

⬇ DOWNLOAD NOW
Kalau muncul iklan pop-up, tutup lalu klik tombol kembali

Download lagu 5.d) 5 + 11 + 19 + 29 + 41 +... Find the nth term and then sum of n terms of following series. NEB12 secara gratis hanya untuk keperluan promosi. Dukung artis favorit kamu dengan membeli musik original di iTunes atau platform resmi lainnya.