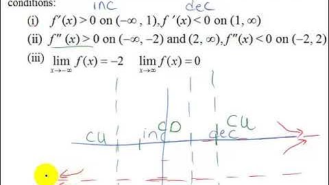
Solution of Sketch Graph from Given Conditions of Derivatives and Concavity MCV4U

Tonton & Download Video Musik Gratis

⬇ DOWNLOAD NOW
Kalau muncul iklan pop-up, tutup lalu klik tombol kembali

Download lagu Solution of Sketch Graph from Given Conditions of Derivatives and Concavity MCV4U secara gratis hanya untuk keperluan promosi. Dukung artis favorit kamu dengan membeli musik original di iTunes atau platform resmi lainnya.