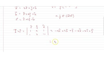
Let `bar a = 2bar i + bar k,bar b=bar i+bar j+bar k and bar c=4 bar i-3bar j+7 bar k` three ve...

Tonton & Download Video Musik Gratis

⬇ DOWNLOAD NOW
Kalau muncul iklan pop-up, tutup lalu klik tombol kembali

Download lagu Let `bar a = 2bar i + bar k,bar b=bar i+bar j+bar k and bar c=4 bar i-3bar j+7 bar k` three ve... secara gratis hanya untuk keperluan promosi. Dukung artis favorit kamu dengan membeli musik original di iTunes atau platform resmi lainnya.