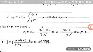
التحليل العددي Numerical analysis/ طريقة نيوتن رافسون Newton Raphson Method / محاضرة (5)

Tonton & Download Video Musik Gratis

⬇ DOWNLOAD NOW
Kalau muncul iklan pop-up, tutup lalu klik tombol kembali

Download lagu التحليل العددي Numerical analysis/ طريقة نيوتن رافسون Newton Raphson Method / محاضرة (5) secara gratis hanya untuk keperluan promosi. Dukung artis favorit kamu dengan membeli musik original di iTunes atau platform resmi lainnya.