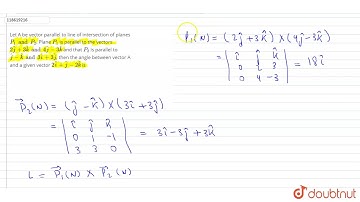
Let \(\vec{a}\) be a non-zero vector parallel to the line of intersection of the two planes desc....

Tonton & Download Video Musik Gratis

⬇ DOWNLOAD NOW
Kalau muncul iklan pop-up, tutup lalu klik tombol kembali

Download lagu Let \(\vec{a}\) be a non-zero vector parallel to the line of intersection of the two planes desc.... secara gratis hanya untuk keperluan promosi. Dukung artis favorit kamu dengan membeli musik original di iTunes atau platform resmi lainnya.