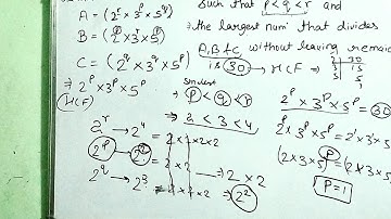
Prime factorisation of three numbers A, B and C is given below: A = (2^r × 3^p × 5^q) B = (2^p × 3^r

Tonton & Download Video Musik Gratis

⬇ DOWNLOAD NOW
Kalau muncul iklan pop-up, tutup lalu klik tombol kembali

Download lagu Prime factorisation of three numbers A, B and C is given below: A = (2^r × 3^p × 5^q) B = (2^p × 3^r secara gratis hanya untuk keperluan promosi. Dukung artis favorit kamu dengan membeli musik original di iTunes atau platform resmi lainnya.