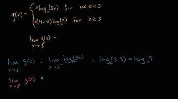
AP微积分AB 在图像中估计极限 中文版 AP Calculus AB Estimating limit values from graphs Complete #000

Tonton & Download Video Musik Gratis

⬇ DOWNLOAD NOW
Kalau muncul iklan pop-up, tutup lalu klik tombol kembali

Download lagu AP微积分AB 在图像中估计极限 中文版 AP Calculus AB Estimating limit values from graphs Complete #000 secara gratis hanya untuk keperluan promosi. Dukung artis favorit kamu dengan membeli musik original di iTunes atau platform resmi lainnya.