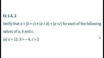
7th#1.4#Q-2# VERIFY a÷(b+c) = a÷b + a÷c#INTEGERS# VERY EASY # MUST WATCH

Tonton & Download Video Musik Gratis

⬇ DOWNLOAD NOW
Kalau muncul iklan pop-up, tutup lalu klik tombol kembali

Download lagu 7th#1.4#Q-2# VERIFY a÷(b+c) = a÷b + a÷c#INTEGERS# VERY EASY # MUST WATCH secara gratis hanya untuk keperluan promosi. Dukung artis favorit kamu dengan membeli musik original di iTunes atau platform resmi lainnya.