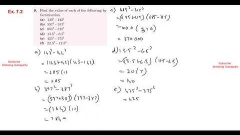
Q.No. 8 | Exercise 7.2 | Factorization | Class 8 | Chapter 7 | Macmillan CPA

Tonton & Download Video Musik Gratis

⬇ DOWNLOAD NOW
Kalau muncul iklan pop-up, tutup lalu klik tombol kembali

Download lagu Q.No. 8 | Exercise 7.2 | Factorization | Class 8 | Chapter 7 | Macmillan CPA secara gratis hanya untuk keperluan promosi. Dukung artis favorit kamu dengan membeli musik original di iTunes atau platform resmi lainnya.