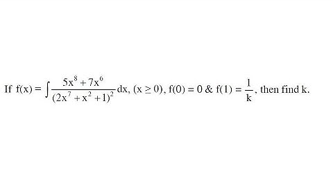
If f(x)=∫(5x^8+7x^6)/(x^2+1+2x^7)^2 dx,(x≥0) and f(0) = 0, then the value of f(1) is

Tonton & Download Video Musik Gratis

⬇ DOWNLOAD NOW
Kalau muncul iklan pop-up, tutup lalu klik tombol kembali

Download lagu If f(x)=∫(5x^8+7x^6)/(x^2+1+2x^7)^2 dx,(x≥0) and f(0) = 0, then the value of f(1) is secara gratis hanya untuk keperluan promosi. Dukung artis favorit kamu dengan membeli musik original di iTunes atau platform resmi lainnya.