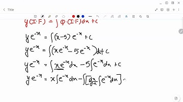
"Find the equation of a curve passing through the point (0, 2) given that the sum of the coordinate

Tonton & Download Video Musik Gratis

⬇ DOWNLOAD NOW
Kalau muncul iklan pop-up, tutup lalu klik tombol kembali

Download lagu "Find the equation of a curve passing through the point (0, 2) given that the sum of the coordinate secara gratis hanya untuk keperluan promosi. Dukung artis favorit kamu dengan membeli musik original di iTunes atau platform resmi lainnya.