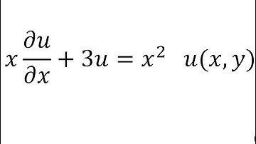
Verify by substitution that the given function is a solution of the PDE Sketch or graph the solut...

Tonton & Download Video Musik Gratis

⬇ DOWNLOAD NOW
Kalau muncul iklan pop-up, tutup lalu klik tombol kembali

Download lagu Verify by substitution that the given function is a solution of the PDE Sketch or graph the solut... secara gratis hanya untuk keperluan promosi. Dukung artis favorit kamu dengan membeli musik original di iTunes atau platform resmi lainnya.