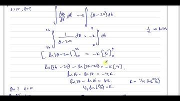
[5], A2, (IAL), Pure Mathematics (P4), Solomon I, Q7, Integration, Differential Equations

Tonton & Download Video Musik Gratis

⬇ DOWNLOAD NOW
Kalau muncul iklan pop-up, tutup lalu klik tombol kembali

Download lagu [5], A2, (IAL), Pure Mathematics (P4), Solomon I, Q7, Integration, Differential Equations secara gratis hanya untuk keperluan promosi. Dukung artis favorit kamu dengan membeli musik original di iTunes atau platform resmi lainnya.