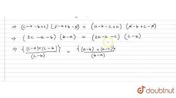
If `(b-c)^2,(c-a)^2,(a-b)^2` are in A.P. prove that `1/(b-c),1/(c-a),1/(a-b),` are in A.P.

Tonton & Download Video Musik Gratis

⬇ DOWNLOAD NOW
Kalau muncul iklan pop-up, tutup lalu klik tombol kembali

Download lagu If `(b-c)^2,(c-a)^2,(a-b)^2` are in A.P. prove that `1/(b-c),1/(c-a),1/(a-b),` are in A.P. secara gratis hanya untuk keperluan promosi. Dukung artis favorit kamu dengan membeli musik original di iTunes atau platform resmi lainnya.