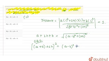
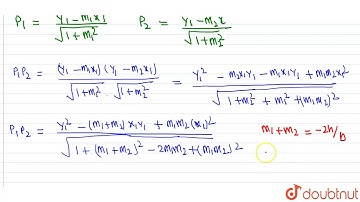
Prove that the product of the perpendicular from the points (x_1,y_1) on the straight line ax^2+2hxy

Tonton & Download Video Musik Gratis

⬇ DOWNLOAD NOW
Kalau muncul iklan pop-up, tutup lalu klik tombol kembali

Download lagu Prove that the product of the perpendicular from the points (x_1,y_1) on the straight line ax^2+2hxy secara gratis hanya untuk keperluan promosi. Dukung artis favorit kamu dengan membeli musik original di iTunes atau platform resmi lainnya.