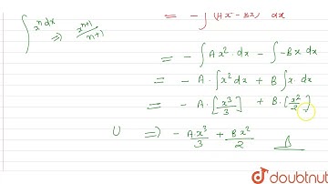
The rate of doing work by force acting on a particle of mass m moving along x-axis depends on pos...

Tonton & Download Video Musik Gratis

⬇ DOWNLOAD NOW
Kalau muncul iklan pop-up, tutup lalu klik tombol kembali

Download lagu The rate of doing work by force acting on a particle of mass m moving along x-axis depends on pos... secara gratis hanya untuk keperluan promosi. Dukung artis favorit kamu dengan membeli musik original di iTunes atau platform resmi lainnya.