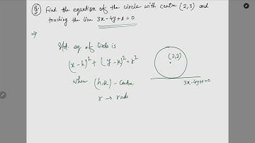
kp sir circles find equation of circle with centre (2, 3) and touching the line 3x-4y+1=0

Tonton & Download Video Musik Gratis

⬇ DOWNLOAD NOW
Kalau muncul iklan pop-up, tutup lalu klik tombol kembali

Download lagu kp sir circles find equation of circle with centre (2, 3) and touching the line 3x-4y+1=0 secara gratis hanya untuk keperluan promosi. Dukung artis favorit kamu dengan membeli musik original di iTunes atau platform resmi lainnya.