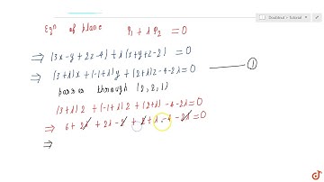
Three Dimensional Geometry/Find the equation of the plane through the intersection of planes

Tonton & Download Video Musik Gratis

⬇ DOWNLOAD NOW
Kalau muncul iklan pop-up, tutup lalu klik tombol kembali

Download lagu Three Dimensional Geometry/Find the equation of the plane through the intersection of planes secara gratis hanya untuk keperluan promosi. Dukung artis favorit kamu dengan membeli musik original di iTunes atau platform resmi lainnya.