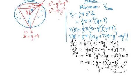
Dimensions of a Cone inscribed in Sphere with Maximum Volume IB AP Calculus

Tonton & Download Video Musik Gratis

⬇ DOWNLOAD NOW
Kalau muncul iklan pop-up, tutup lalu klik tombol kembali

Download lagu Dimensions of a Cone inscribed in Sphere with Maximum Volume IB AP Calculus secara gratis hanya untuk keperluan promosi. Dukung artis favorit kamu dengan membeli musik original di iTunes atau platform resmi lainnya.