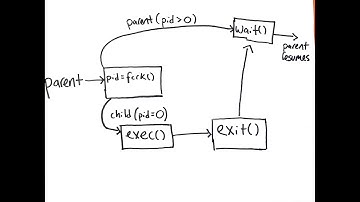
Operating Systems Tutorial 2:To load an executable program in a child processes exec system call

Tonton & Download Video Musik Gratis

⬇ DOWNLOAD NOW
Kalau muncul iklan pop-up, tutup lalu klik tombol kembali

Download lagu Operating Systems Tutorial 2:To load an executable program in a child processes exec system call secara gratis hanya untuk keperluan promosi. Dukung artis favorit kamu dengan membeli musik original di iTunes atau platform resmi lainnya.