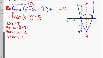
College Algebra Unit 2.6 Notes Parabolas in Standard Form 2020

Tonton & Download Video Musik Gratis

⬇ DOWNLOAD NOW
Kalau muncul iklan pop-up, tutup lalu klik tombol kembali

Download lagu College Algebra Unit 2.6 Notes Parabolas in Standard Form 2020 secara gratis hanya untuk keperluan promosi. Dukung artis favorit kamu dengan membeli musik original di iTunes atau platform resmi lainnya.