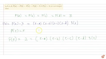
Let \( P(x) \) be a polynomial whose coefficient are integer satisfies \( P(1)=5 \) and \( P(2)=...

Tonton & Download Video Musik Gratis

⬇ DOWNLOAD NOW
Kalau muncul iklan pop-up, tutup lalu klik tombol kembali

Download lagu Let \( P(x) \) be a polynomial whose coefficient are integer satisfies \( P(1)=5 \) and \( P(2)=... secara gratis hanya untuk keperluan promosi. Dukung artis favorit kamu dengan membeli musik original di iTunes atau platform resmi lainnya.